半導體產業網訊:近日,中鎵半導體與北京大學、波蘭國家高壓實驗室開展了合作,使用乙烯氣源制備出了世界最高電阻率的半絕緣GaN自支撐襯底。
實驗使用乙烯氣源制備了半絕緣GaN襯底,并對制備得到的GaN材料進行了表征,證明了乙烯氣源的摻雜效率比傳統甲烷氣源高40倍。在相同測試溫度下比較了現有報道的半絕緣襯底參數,使用乙烯制備的其中一個半絕緣氮化鎵樣品達到了目前報道的最高GaN體電阻率。
以上工作已在SEMIConDUCTOR TODAY雜志發表 [Qiang Liu et al, Appl. Phys. Lett., v121, p172103, 2022]
近年來,半絕緣SiC襯底上外延生長的GaN高遷移率晶體管(GaN-on-SiC HEMTs)已廣泛應用于微波射頻領域的功率放大器電路中,然而由于GaN和SiC晶體之間的晶格失配和熱失配,導致GaN外延層中位錯密度難以降低,并且需要在界面生長緩沖層以調控應力。基于半絕緣GaN自支撐襯底的GaN高遷移率晶體管(GaN-on-GaN HEMTs)可避免襯底和外延層的熱失配和晶格失配,簡化外延層結構設計,并且由于GaN-on-GaN外延層較一般GaN-on-SiC外延層的位錯密度低3個數量級以上,可使二維電子氣(2DEG)溝道處的晶格質量得到極大提高,進一步提高同等條件下二維電子氣的遷移率。
半絕緣襯底的電阻率對HEMT器件電流夾斷效果和高頻漏電影響顯著,一般要求半絕緣襯底的電阻率超過10^9 Ω·cm,來自日本的研究團隊在半絕緣GaN自支撐襯底上實際驗證了GaN-on-GaN HEMTs器件的性能,根據其報道器件的峰值附加功率效率可高達82.8%,由于目前市面上的GaN-on-SiC HEMTs器件。為了實現GaN的半絕緣摻雜,目前有C摻雜、Fe摻雜和Mn摻雜3種方案。其中C摻雜GaN襯底呈p型導電性,因此在相同摻雜濃度下可實現比Fe摻雜GaN襯底(n型導電性)更高的電阻率。傳統的C摻雜氣源為甲烷,裂解時主要為CH3分子團,而乙烯容易裂解為CH2分子團,是一種更容易在HVPE生長過程中并入GaN晶體的分子結構,因此乙烯的摻雜效率遠高于甲烷。
本實驗使用了中鎵半導體開發的專有二次外延生長工藝,在2英寸4.5μm MOVPE GaN-on-Sapphire襯底上,生長非摻雜低溫/高溫GaN層,使用激光將GaN層剝離后,在剝離后的GaN膜層上分別使用不同流量的甲烷和乙烯氣體作為摻雜源生長半絕緣GaN層,最后通過研磨和拋光將非摻雜GaN層全部磨去,得到各種不同氣源與流量摻雜的GaN自支撐襯底。為了對襯底材料進行高溫霍爾測試,將GaN自支撐襯底切割為5mm×5mm的小方塊,并制作范德堡電極。

圖1:二次離子質譜測試C摻雜GaN樣品結果
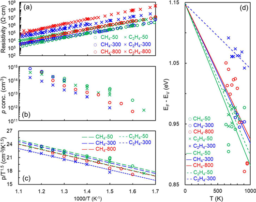
實驗后的樣品使用二次離子質譜測試了不同樣品的C摻雜濃度,如圖1所示。隨著通入甲烷和乙烯氣體流量從50sccm增長至800sccm,甲烷摻雜樣品的C摻雜濃度從1.3 x 10^17 cm^-3增長至1.7 x 10^18 cm^-3,乙烯摻雜樣品的C摻雜濃度從5.8 x 10^18 cm^-3增長至1.5 x 10^20 cm^-3。對于所有樣品,都檢測到了約10^17 cm^-3量級的Si背景雜質,這些Si雜質來自于石英反應腔。

圖2:各C摻雜樣品的 (a)電阻率和;(b)空穴濃度的溫度依存性;(c)碳自補償率計算用擬合曲線;(d)絕對零度下碳能級計算用擬合曲線
霍爾效應測試結果如圖2所示,樣品顯示p型導電性并且所有樣品遷移率均小于3 cm^2/V·s。隨著測試溫度從315°C升高至560°C,樣品的空穴密度從10^12 cm^-3增加至10^16 cm^-3,因此樣品的電阻率隨之從10^8 Ω·cm降低至10^4 Ω·cm,這個現象說明樣品中只有單一的C摻雜能級決定著樣品的電性。通過擬合計算,碳摻雜能級在0K時的激活能( EAV(0))為1.148eV。根據第一性原理計算,此能級對應了C原子替代N原子位時的受主能級。
隨著C摻雜濃度升高,GaN樣品的電阻率不降反升,這種異常現象是由于C摻雜的自補償導致的,通過計算碳的自補償率,發現在800sccm乙烯摻雜樣品中,空穴幾乎被完全中和,因此使霍爾效應測試無法成功測得數值。
利用自補償效應,C摻雜GaN材料電阻率不僅輕易超過了Fe摻雜GaN材料,也超過了Mn摻雜GaN材料。800sccm乙烯摻雜樣品在1000K時電阻率為10^5 Ω·cm,是目前報道的半絕緣GaN材料的達到的最高電阻率值,在相同溫度下當前報道的C摻雜GaN最高報道值為2000 Ω·cm,Fe摻雜GaN最高報道值6 x 10^4 Ω·cm。在833K時,800sccm乙烯摻雜的GaN材料電阻率為6 x 10^5 Ω·cm,超過了相同溫度下已知的最高Mn摻雜GaN電阻率2 x 10^5 Ω·cm。
中鎵半導體作為國內首家專業研發、生產氮化鎵襯底材料的企業,深耕第三代半導體市場13年,致力于技術與產品的研發和創新,將以自主研發領先國際的HVPE設備,持續探索更佳卓越品質的產品,推進高質量發展,為第三代半導體產業體系貢獻力量。